您的留言已提交,谢谢!
5秒后将自动关闭
中国是世界上水产动物生产和消耗最多的国家,其中对虾作为兼具美味和健康的日常蛋白质来源备受消费者们的青睐。目前,中国对虾的养殖产量已达到每年120万吨,而对虾的消费需求达到了135万吨且不断在上涨 [1]。在土地、人工、饲料成本高涨以及环保压力日益增加的大背景下,如何高效且高密度地养殖出符合市场需求的虾,一直以来都是养殖户朋友们最关心的话题。

在养殖过程中,对虾需要进行多次蜕壳才能从幼体最终长成大规格虾。在各种营养和矿物质补给充足的情况下,每一次蜕壳后,虾的体重和体型会有明显的增加。蜕壳能细分为蜕壳间期、蜕壳前期、蜕壳期、蜕壳后期以及后续期。蜕壳间期:对虾的摄食量明显提高,吸收大量钙、镁、钾、铁等矿物质元素,储备能量为蜕壳做准备。蜕壳前期:对虾摄食减少开始合成新的表皮,旧的表皮开始分解,当旧表皮和新表皮分离时,虾体开始吸水,完全停止摄食为蜕壳做准备。蜕壳期:时间非常短,通常为几秒到几分钟,虾体在充分吸水后,旧外壳破裂虾体从旧壳中蜕出。蜕壳后期:刚完成蜕壳后,新外壳较为柔软,虾体仍需要大量吸水以延展新壳,此时虾不摄食,此过程也较短。蜕壳后续期:虾壳开始硬化,需要吸收大量钙质和微量元素,此过程的长短取决于水体的矿物质元素的含量,当虾壳完全硬化后,虾体会排出过多的水分并开始摄食,最终完成蜕壳。
建明水产科技推出了最新专为对虾养殖系统设计的均衡多矿产品-矿师傅®,能够全阶段覆盖对虾蜕壳的所有时期,帮助对虾顺利蜕壳、加速外壳硬化、缩短虾因软壳而易感疾病的空窗期。
矿师傅®相比市场同类产品的三大优势:

图1. 矿师傅™与其他三款竞品的溶解度对比结果[2]
应用矿师傅®的120天对虾养殖实验结果表明:
1) 矿师傅®添加组对虾均重显著高于其他处理组,饲料转化度显著优于其他处理组,特定生长率显著高于其他组

矿师傅®应用后对虾的体重(左)饲料转化率(中)和特定生长率(右)[3].
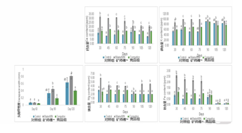
2) 在对虾体组成中钙、钾、镁和铁含量上,矿师傅™添加组显著高于其他处理组。对虾头胸甲宽度,矿师傅®添加组显著高于其他处理组。

添加矿师傅®后虾体重钙、钾、镁、铁含量和头胸甲宽度 [4]
3) 实验中养殖中后期,矿师傅®添加组养殖水体总碱度、水体总硬度、钙含量和水体浮游植物总量显著高于其他组,生物耗氧量显著低于其他组。

添加矿师傅®后水体总碱度、水体总硬度、钙含量和水体浮游植物总量 [5]
因此,对虾养殖中添加矿师傅®后水体总碱度、水体浮游植物更稳定,更有助于矿物元素在对虾体内沉积,从而更有助于对虾获得更好的生长表现和饲料表现。
更多产品发布详情及专家在线答疑,扫描二维码。

在水产养殖行业从野生捕捞到规模化养殖的转变过程中,建明水产科技的专家团队一直致力于不断创新的产品和服务,助力于水产行业的发展壮大。建明水产科技专注于为市场提供用于满足水产养殖、饲料生产及鱼粉稳定化等需求的产品和创新性解决方案,同时助力行业应对未来的挑战。
参考文献
1,全球对虾产业最新大数据http://www.fishfirst.cn/article-101581-1.html
2,建明内部文档, 18-00375
3-5,建明内部文档